Heap
Heap Adalah struktur data yang berbentuk pohon yang memenuhi sifat-sifat heap yaitu jika B adalah anak dari A, maka nilai yang tersimpan di simpul A lebih besar atau sama dengan nilai yang tersimpan di simpul B.
Jenis-jenis dari heap adalah sebagai berikut:
Min–Heap
Heap dimana root memiliki nilai yang paling kecil dari keturunannya. Child dari node tersebut dan node seterusnya harus lebih besardari parent nya. Jika tidak memenuhi, maka dilakukan rotasi.
Max- Heap

Heap dimana root memiliki nilai yang paling besar. Child dari node tersebut dan node seterusnya harus lebih kecil dari parent nya. Jika tidak memenuhi, maka dilakukan rotasi.
Min-Max Heap

Complete Binary Tree yang dimana setiap level nya memiliki tingkatan heap berbeda (max dan min). Apabila root adalah level min, maka selanjutnya adalah level max, dst.
Insertion dalam Heap

Heap di insert satu persatu, dari atas, lalu kebawah. Dari kiri ke kanan terlebih dahulu secara berurutan ke index terakhir. Apabila heap tidak memenuhi syarat min/max/min-max heap maka dilakukan operasi up-heap.
Tries
Tries atau prefix tree adalah suatu pohon struktur data yang terurut yang menyimpan data array, biasanya string. Kata tries diambil dari kata RETRIEVAL, karena tries dapat menemukan kata tunggal dalam kamus dengan hanya awalan katanya saja.
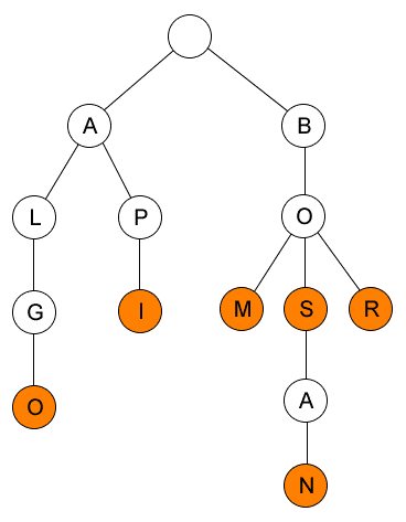
Tries adalah suatu tree dimana setiap vertex/pathnya menggambarkan suatu kata, rootnya kosong
![]() |
| Tree tersebut menunjukan kata : ALGO, API, BOM, BOS, BOSAN, BOR |
Hashing
Hashing adalah transformasi dari string of character menjadi nilai yang lebih pendek atau key yang merepresentasikan suatu string aslinya.Hashing digunakan untuk mengindex dan retrieve item dalam database, karena akan lebih mudah menggunakan kata kunci yang lebih singkat dibandingkan string aslinya.
Hash Table
Hash table adalah tabel (array) yang menyimpan string aslinya.
Contoh Hash Table:

sumber: http://suciantinovi.blogspot.co.id/2014/05/leftist-trie-and-hashing.html




